スポンサーリンク
電圧、電流、電力の測定回路
※ページ内にPR・広告が含まれる場合があります。
第二種電気工事士の学科試験で電圧、電流、電力を測定する回路についての問題が、そこそこの頻度で出題されています。
これについての問題は、あまりひねりもなく、だいたい次の2パターンのどちらかで出題されています。
1つ目のパターンは平成24年度下期にも出題されているパターンで、電圧計、電流計、電力計の接続方法(回路)として正しいものを選ぶ問題です。
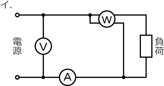
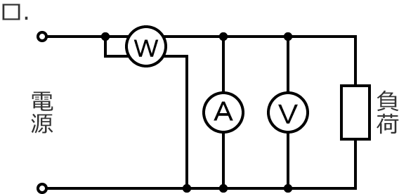
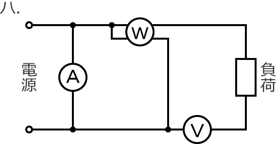
平成24年度下期 第二種電気工事士 筆記試験(学科試験) 問27
単相交流電源から負荷に至る回路において、電圧計、電流計、電力計の結線方法として、正しいものは。




ちなみに、この問題とほぼ同じ問題(ちょっと図が違う)が平成27年度下期などに出題されています。
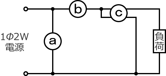
2つ目のパターンは令和元年度下期に出題されているパターンで、回路図が書いてあって、その中に電圧計、電流計、電力計をあてはめる問題です。
令和元年度下期 第二種電気工事士 筆記試験(学科試験) 問27
図の交流回路は、負荷の電圧、電流、電力を測定する回路である。図中にa、b、cで示す計器の組合せとして、正しいものは。

イ. a 電流計 b 電圧計 c 電力計
ロ. a 電力計 b 電流計 c 電圧計
ハ. a 電圧計 b 電力計 c 電流計
ニ. a 電圧計 b 電流計 c 電力計
ちなみに、このパターンは平成29年度上期などにも出題されています。
このどちらのパターンで出題されても、電圧、電流、電力を測定する回路図をおぼえておけばいいだけです。
どれが何か? どのように接続されるのか?
なので、次の回路図をおぼえておきましょう!

計器(電圧計、電流計、電力計)が3つ書いてあるので、なんとなく複雑な回路に見えてしまいますが、これ、1つ1つ分けて考えた方がいいです。
スポンサーリンク
スポンサーリンク
電圧計の接続方法
回路図から電流計と電力計を消して電圧計だけにしてみましょう。
すると、次のような回路になります。

ずいぶんスッキリしました!
電圧計はこのように電圧を測定したい負荷と並列に接続します。
電流計の接続方法
次は電流計だけの回路にしてみます。すると、次のような回路になりますね。

このように電流計は電流を測定したい負荷と直列に接続します。
電力計の接続方法
同じように電力計だけの回路にしてみます。すると、次のような回路になります。

電力計はちょっとだけ線が多いですね。
これは、電力計の中に電流コイルと電圧コイルという2つのコイルが入っていて、電流コイルで電流を測定、電圧コイルで電圧を測定するためと考えておけばいいです。(電力は電圧と電流をかけますね。)
なので、電力計は負荷に直列に接続される電流コイルと、負荷に並列に接続される電圧コイルがあるので、図のように接続されます。

それで、話を初めの回路図

に戻すと、この回路図は電圧計、電流計、電力計それぞれの接続を1つの回路図で書いたものになります。

なので、「電圧、電流、電力の測定回路」の問題は、計器それぞれの正しい接続方法を分かっていれば簡単に解くことができます。
ちょっと違った回路もあります!
ここでの説明の回路の例として、

の回路を使用しましたが、この他にもちょっと違った接続回路の例もあります。

左側の回路は電流計が電源側に接続された回路で、右側の回路は電流計が電源側の下側に接続された回路です。
この2つの回路とも、ちゃんとそれぞれの正しい計器の接続方法に従っているのでOKです。
ときどき、第二種電気工事士の学科試験でこのパターンで出題されることもあるのでおぼえておきましょう。
- 電圧計は負荷に並列に接続しよう!
- 電流計は負荷に直列に接続しよう!
- 電力計は負荷に直列と並列で接続しよう!
スポンサーリンク
スポンサーリンク
このページを読んだら、4択クイズをやってみよう!
電圧、電流、電力、力率の測定回路の4択クイズはこちら ⇒ 第二種電気工事士学科試験の4択クイズ 電圧、電流、電力、力率の測定回路
計器の種類と計器に表示されている記号 ←BACK
NEXT→ 力率の測定回路
スポンサーリンク
電圧、電流、電力の測定回路 関連ページ
- 計器の種類と計器に表示されている記号
- 第二種電気工事士学科試験の「検査・測定」の分野で出題される「計器の種類と計器に表示されている記号」についてまとめています。計器の種類や計器に表示されている記号の意味をおぼえましょう。
- 力率の測定回路
- 第二種電気工事士学科試験の「検査・測定」の分野で出題される「力率の測定回路」についてまとめています。力率の測定回路は、電圧・電流・電力の測定回路と同じ回路になるので、電圧、電流、電力の測定回路が分かっていれば、そんなに難しくはないです。
- クランプ形の電流計による電流の測定
- 第二種電気工事士学科試験の「検査・測定」の分野で出題される「クランプ形の電流計による電流の測定」についてまとめています。クランプ形の電流計による負荷電流や漏れ電流の測定方法については比較的出題頻度が高いので、必ずおぼえておくようにしましょう。
- 接地抵抗計による接地抵抗の測定方法
- 第二種電気工事士学科試験の「検査・測定」の分野で出題される「接地抵抗計による接地抵抗の測定方法」についてまとめています。接地抵抗の測定については、各接地極の配置について問う問題がよく出題されています。各接地極の配置と並び順は必ずおぼえておくようにしましょう。
- 絶縁抵抗計による絶縁抵抗の測定方法と絶縁抵抗値
- 第二種電気工事士学科試験の「検査・測定」の分野で出題される「絶縁抵抗計による絶縁抵抗の測定方法と絶縁抵抗値」についてまとめています。絶縁抵抗計を使った絶縁抵抗の測定については、点滅器を「入」にするとか、負荷を使用状態にするとか、ちょっとややこしかったりします。
- 竣工検査
- 第二種電気工事士学科試験の「検査・測定」の分野で出題される「竣工検査」についてまとめています。竣工検査については、竣工検査で行う測定や試験の項目と順番などを問う問題が出題されています。

